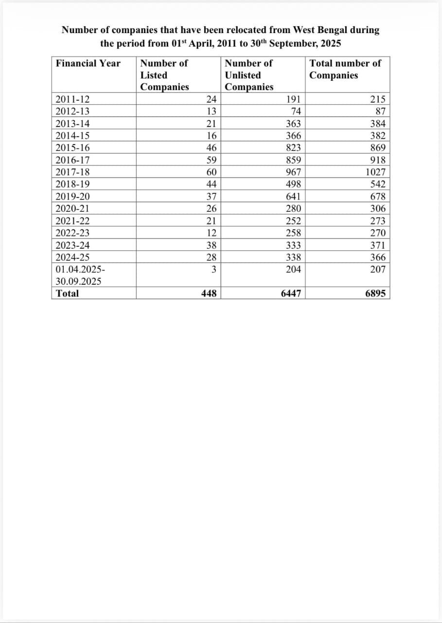
পৃথকভাবে উল্লেখ করা আছে কোন কোন প্রতিষ্ঠান গত কয়েক বছরে কলকাতা বা জেলা সদর থেকে তাদের অফিস বা ব্যবসার কেন্দ্র অন্যত্র সরিয়ে নিয়েছে।

শমীক ভট্টাচার্য
শেষ আপডেট: 4 December 2025 11:17
দ্য ওয়াল ব্যুরো: পশ্চিমবঙ্গের শিল্পক্ষেত্র (West Bengal Industry) নিয়ে নতুন করে বিতর্ক ছড়াল। শেষ ছয় মাসে ২০৭টি সংস্থা (207 Companies) রাজ্য ছেড়ে চলে গেছে - কেন্দ্রীয় কর্পোরেট বিষয়ক মন্ত্রকের (Central Report) লিখিত জবাব উদ্ধৃত করে এমনটাই দাবি করলেন বিজেপি সাংসদ এবং রাজ্য বিজেপি সভাপতি শমীক ভট্টাচার্য (Shamik Bhattacharya)।
তিনি দাবি করেছেন, তাঁর প্রশ্নের উত্তরে মন্ত্রক জানিয়েছে, মুখ্যমন্ত্রী মমতা বন্দ্যোপাধ্যায়ের (Mamata Banerjee Govt) ক্ষমতায় আসার পর থেকে মোট ৬ হাজার ৮৯৫টি কোম্পানি পশ্চিমবঙ্গ থেকে সরে গেছে! এই তথ্যের সঙ্গে মন্ত্রক একটি ২২৩ পাতার সংস্থার তালিকা জমা দিয়েছে, যেখানে পৃথকভাবে উল্লেখ করা আছে কোন কোন প্রতিষ্ঠান গত কয়েক বছরে কলকাতা বা জেলা সদর থেকে তাদের অফিস বা ব্যবসার কেন্দ্র অন্যত্র সরিয়ে নিয়েছে।

মন্ত্রকের দেওয়া তালিকায় শুধু ছোট মাপের প্রতিষ্ঠান নয়, রয়েছে বহু বৃহৎ মার্কেট ক্যাপের লিস্টেড কোম্পানিও। গত কয়েক বছরে যেসব বড় সংস্থা রাজ্য থেকে কার্যক্রম গুটিয়ে নিয়েছে, তাদের মধ্যে উল্লেখযোগ্য -
১। Netweb Technologies – ১৮,২৬৫ কোটি
২। Gallant Ispat – ১৪,২২৭ কোটি
৩। Eureka Forbes – ১২,৫০৯ কোটি
৪। JK Tyre – ১২,৪৮১ কোটি
৫। Sanathan Textiles – ৩,৯৫৮ কোটি
৬। Greenpanel Industries – ৩,০৩৩ কোটি
৭। National Standard – ২,৮১৯ কোটি
৮। Cropster Agro – ১,৭৬৯ কোটি
৯। Associated Alcohols – ১,৮৫৩ কোটি
১০। Magellanic Cloud – ১,৫১০ কোটি
১১। Panorama Studios – ১,৩১৩ কোটি
১২। Abans Financial Services – ১,০১৯ কোটি
১৩। Century Enka – ১,০০০ কোটি
১৪। Elin Electronics – ৮৮৮ কোটি
১৫। Gretex Corporate Services – ৮০৫ কোটি

তালিকা থেকে স্পষ্ট, তথ্যপ্রযুক্তি থেকে স্টিল, ফাইন্যান্স - একাধিক সেক্টরের বড় কোম্পানি গত কয়েক বছরে রাজ্য থেকে ব্যবসা সরিয়ে নিয়েছে।
এই পরিসংখ্যান প্রকাশ হওয়ার পর রাজনৈতিক অঙ্গনে শুরু হয়েছে তীব্র বিতর্ক। বিজেপির দাবি, শিল্প-বান্ধব পরিবেশের অভাবেই সংস্থাগুলি অন্য রাজ্যে পাড়ি দিচ্ছে। তবে রাজ্য সরকারের পক্ষ থেকে এই বিষয়ে এখনও কোনও আনুষ্ঠানিক প্রতিক্রিয়া পাওয়া যায়নি।